UMSAEP UM-UWC Academic Exchange Program Report 2020-2022 Project
Training Educators to Conduct Behavioral Assessments for Challenging Behavior in the Classroom: Disseminating Evidence-based Procedures to Educators in South Africa
August 8, 2022
Submitted by Dr. Andresa De Souza
Assistant Professor, Department of Educators Preparation and Leadership The University of Missouri-St. Louis
UWC Host: Dr. Nicolette V. Roman
Research Chair in Human Capabilities, Social Cohesion and the Family Centre for Interdisciplinary Studies of Children, Families and Society University of Western Cape (UWC)
Supporting Faculty: Dr. Danielle Pizzella
Adjunct Faculty, Department of Educators Preparation and Leadership University of Missouri-St. Louis
Abstract
Students’ challenging behavior is a common complaint of educators working in special and general education classrooms. According to Sugai et al. (2002), challenging behavior can greatly compromise students’ educational experience and the ability of educators to promote an environment that is conducive to learning. Evidence-based assessments and interventions for challenging behavior in the classroom involves the behavioral approach for identifying the variables that influence these behaviors. Although simple, educators must have a clear understanding of the assessment process to ensure accurate data collection and interpretation of results. The aim of this project was to evaluate an evidence-based training procedure to train educators on how to conduct an assessment to identify the function of students’ challenging behavior in schools in South Africa. Four educators participated in this single-case design study. The training was delivered in Cape Town and was implemented across three phases when a different skill was taught using instructions, modeling, rehearsal, and feedback. Printed materials and video vignettes were used for baseline and training sessions. Probes sessions were conducted in between training phases. Educators also receive information about function-based interventions. We assessed participants’ acquisition and acceptability of the training procedure and outcomes. Results showed that the training procedure was effective in teaching all participants how to perform a behavior assessment with a least 80% of integrity across two probe sessions.
Study Objectives
- To assess the feasibility and acceptability of a training procedure to teach educators from schools in South Africa.
- To train educators on how to implement best practices in the assessment and selection of interventions to address challenging behavior in the classroom.
- To use the outcomes of this study to design a large-scale training program for educators in South Africa.
2022 UMSAEP Annual Report
Dr. De Souza was granted the UMSAEP award in 2020. However, because of travel restrictions and limited contact due to COVID-19, the trip to South Africa was postponed to the Spring of 2022. In February/March of 2022, Dr. De Souza and Dr. Pizzella traveled to Cape Town to conduct the research with the assistance of Dr. Roman.
Preparatory Activities
Dr. De Souza and Dr. Pizzella engaged in several activities to prepare the necessary material for the study. The following materials were prepared before the travel to Cape Town:
- Instruction Material. The first part of the training procedure consisted of short instructional lectures about the different modules of the training. PowerPoint presentations containing information about the training module along with examples and practice activities were developed. A total of six PowerPoint presentations were developed, one for each of the six modules.
- Knowledge Quizzes. For each module, participants were asked to complete a module-related quiz before and after the PowerPoint presentation. The quiz was comprised of 4-6 multiple-choice questions, short essay questions, or fill-in-the-blank questions.
- Training Skills Sheets. During the presentation of each module, participants had the opportunity to practice the skills taught in the module. Participants were taught three steps of the behavior assessment procedure: (a) write a definition of the challenging behavior; (b) collect data on the challenging behavior; and (c) conduct a conditional probability of variables affecting the behavior. Training sheets were developed for each of these three steps.
- Participants Performance Data Sheets. After completing each of the skills listed above, the experimenter scored on a datasheet the percentage of participants correct and incorrect steps completed for each skill. A different data sheet with different requirements was developed for each skill.
- Video Vignettes. Video vignettes were created for each of the three steps of the behavior assessment procedures to allow participants to practice and demonstrate these skills and for skills probe sessions. For these vignettes, five adults served as students in a classroom and one adult as the teacher. Vignettes ranged from 1-5 minutes and involved adults acting out pre-written scripts. About 30 vignettes were recorded and edited to be used during experimental sessions.
Meanwhile, Dr. Roman submitted and gained approval from the research board to conduct the research, recruited participants, and secured an appropriate venue outside of UWC for experimental sessions.
Activities During Dr. De Souza and Dr. Pizzella Travel to the Western Cape
Project Dates
Dr. De Souza was in Cape Town for this project from February 19th, 2022 – March 11th, 2022, and Dr. Pizzella from February 19th, 2022 – March 4th, 2022.
Research Activities
Dr. De Souza and Dr. Pizzella run research sessions with four participants: Two participants in the first week and two participants in the second week. Each participant attended two days of research sessions from 9 am to 12:30 pm. Three out of four participants completed the research project. All participants received and signed a consent form before the beginning of the study.
Participants were from South Africa and worked in the field of child education.
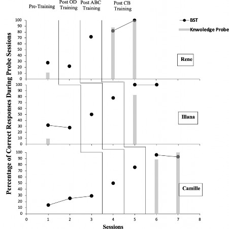
During the study, participants were trained on how to conduct challenging behavior assessment using a training strategy known as Behavioral Skills Training (BST; Parsons et al., 2012). Specifically, participants received instruction on how to assess student problem behavior, were shown how to perform tasks, and received feedback for their performances. Participants watched videos and completed pre- and post-test knowledge and skill probes. Participants also received handouts of possible intervention strategies to address students’ challenging behavior. The study concluded only when each participant demonstrated performance according to a predetermined mastery criterion for all training phases. Figure 1 shows the performance of participants during probe sessions before and after each training phase. All participants who completed the study demonstrated mastery criterion for all skills taught during the training and for instructional content, as measured by knowledge probes.
Figure 1

Participants’ Performance During Probe Sessions
At the end of the study, participants were asked to complete a Training Acceptability Rating Form to assess the extent to which they considered the training beneficial and easy to follow, and how satisfied they were with the training program. The form contained 12 Likert-scale question and one open question. The scale ranged from 1 to 7 where 1 denoted very unsatisfied and 7 very satisfied. The mean score for all three participants were 6.2 demonstrating a high range of participants satisfaction with the training program (Figure 2). For the open question, one of the participants stated:
“Excellent training and facilitation throughout the course of the training. Was very engaging with interactive assessments for trainee.”

Figure 2
Participants Scores to the Training Acceptability Rating Form
Other Scholarly Activities
Dr. Roman invited Dr. De Souza and Dr. Pizzella to deliver a lecture to UWC graduate students. Each of them delivered a 1-hour long lecture on the basic principles (Dr. De Souza) and on the applications (Dr. Pizzella) of applied behavior analysis.
Behavior analysis is a science that investigates the environmental variables that influences behavior. Like any other natural science, behavior analysis takes a scientific approach to the investigation of the causes of behavior. Applied behavior analysis (a.k.a., ABA) is the application of the knowledge prevenient from behavior analysis to socially significant issues. Some of the major contributions of ABA involve intervention for people with disabilities and in education settings. The most recognized and recommended approach for the assessment and intervention of students challenging behavior in the classroom is based on ABA. Unfortunately, ABA is not well known in countries outside of the USA and might carry several misconceptions associated with its applications. Therefore, the opportunity to lecture about ABA and related interventions is crucial for the dissemination of evidence-based interventions.

Online lecture delivered by Dr. De Souza and Dr. Pizzella on March 3, 2022
Research Project Outcomes
Dr. De Souza, Dr. Pizzella, and Dr. Roman are currently working on a manuscript to be submitted to the South African Journal of Education or another international high-impact journal. In addition, we plan to present the study outcomes in international conferences in the field of behavior analysis and education. Finally, Dr. De Souza has been invited to join the Centre for Interdisciplinary Studies of Children, Families and Society as a Research Fellow.
Continuing Activities
Several actions have been taken to continue this line of research and expand the project.
- Dr. De Souza and Dr. Pizzella has secured additional funding from the College of Education (COE) of UMSL to replicate the study in Vietnam. This extension will focus on implementing some modification of the original training procedure to improve the training program.
- Dr. De Souza and Dr. Roman are working on expanding the project in South Africa as a large-scale training. To accomplish this goal, we plan to take the next steps in the next few months:
- Conduct a needs assessment including an online survey and interview to identify educators’ barriers and training needs as it relates to classroom management.
- Prepare a training program based on the improvements identified in the previous study (Vietnam replication) and evaluate its effectiveness when delivered in a classroom format (up to 10 participants);
- Develop training material and strategies based on the results of the classroom-format training study to be delivered online with the goal of increasing accessibility and dissemination of evidence-based strategies.
- Dr. De Souza and Dr. Roman are working on identifying additional funding sources to support the development of this line of research and community application.

Dr. De Souza and Dr. Roman post-study meeting
Acknowledgements
We would like to express our appreciation to UMSAE program for the initial support in getting started with this research project as well as Dr. Rodney Uphoff for his guidance and logistics assistance throughout our trip to Cape Town. Finally, we want to recognize the generosity of participants who dedicated their time to attend training session without whom we will not be able to accomplish our research goals.

Dr. De Souza and Dr. Pizzella enjoying a beautiful weekend in Cape Town
References
Parsons, M. B., Rollyson, J. H., & Reid, D. H. (2012). Evidence-based staff training: A guide for practitioners. Behavior Analysis in Practice, 5, 2–11. https://doi.org/10.1007/bf03391819.
Sugai, G., Horner, R., & Gresham, S. (2002). Behaviorally effective school environments. In M.
R. Shinn, H. M. Walker, & G. Stoner (Eds.), Interventions for academic and behavior problems II: Preventive and remedial approaches. National Association of School Psychologists.
Reviewed 2025-11-03