Report for UMSAEP - Dr. Anita Burger, Institute for Microbial Biotechnology and Metagenomics (IMBM)
University of Western Cape
Activities March 2021 to December 2022
Project Title: Protocol development for the downstream processing of the biosurfactant, IMBM-BS1
Collaborators:
- Prof Gerald Wyckoff, Professor and Chair, Division of Pharmacology and Pharmaceutical Sciences, Director, Research and Graduate Studies, School of Pharmacy, University of Missouri-Kansas City (UMKC)
-
Prof Kun Cheng, Division of Pharmacology and Pharmaceutical Sciences, School of Pharmacy, UMKC
-
Students from Prof Cheng’s laboratory: Sushil Koirala (who did most of the work) and Umar-Farouk Mamani helped him. Both are graduate students.
Note: Prof Sheila Baker, Department of Chemistry, University of Missouri – Columbia (UM) originally expressed her interest in the collaboration and agreed to the project. She was however not available to honour her commitment to the project.
Project Rationale:
The development of a protocol for the downstream processing for the production of the novel biosurfactant, IMBM-BS1, is a critical step in the further development of the technology. The biosurfactant is a novel lyso-ornithine lipid (LOL) heterologously produced in Escherichia coli. The gene encoding the lipid was isolated from a South African aquatic environment using a metagenomic approach. Unlike other ornithine-containing lipids which are predominantly localised in the outer membrane, IMBM-BS1 is produced extracellularly.
The IMBM received numerous expressions of interest in the biosurfactant as a novel, natural specialty chemical with potential application in various industries. Formal expressions of interest were received from Cirebelle (Pty) Ltd (a South African leading manufacturer and global supplier of fine chemicals and innovative input ingredient solutions for the personal care industry), BiODX (a South African biotechnology start-up that are in need of a biosurfactant to co-formulate with the green biocide that they commercialised for industrial water treatment), Rizobacter (a leading global company in the development of microbiological products for sustainable agriculture e.g. adjuvents, biocontrol, plant growth stimulants) and CHR Hansen (a global company which produces natural ingredients for the food, beverage, dietary supplements and agricultural industry).
The further development of the project is however dependent on producing more (between 5 – 50 grams) of the compound. The proposed project aims to address one of the three aspects that need to be considered for the increase in production i.e. the optimisation of the purification process. Dr Sheila Baker’s group has the necessary expertise and laboratory facilities to develop specific method(s) to separate the biosurfactant from the crude extract. The best method for yield, cost, and potential for scale-up will be determined., experience and facilities for the work to be conducted.
Project Aim:
Development of a protocol to optimise the purification of the biosurfactant, IMBM-BS1, which consider the cost and ease of scaling the production to pilot (100L) and demonstration (500-1000L) level.
Project Objectives:
-
Production of crude extract - IMBM;
-
Development of a method to produce 1 – 5 grams of the purified biosurfactant. This step does not need to be as sensitive to cost and ease of scaling the level of production – Univ Missouri;
-
Further development of the protocol with reference to cost and ease of scaling the level of production to pilot (100L) and demonstration (500-1000L) scale – Univ Missouri;
-
Transfer of the protocol the IMBM laboratory – Univ Missouri to visit IMBM for five working days to assist with the transfer and implementation of the purification protocol at the IMBM – Univ Missouri and IMBM.
Intended Outcomes:
-
An initial purification protocol to purify 1 – 5 grams of the biosurfactant, IMBM-BS1. This protocol does not need to fully meet the criteria of cost-effectiveness and ability to scale to pilot and demonstration scale;
-
A purification protocol that considers the cost and technical feasibility associated with the purification when the biosurfactant is produced at pilot and demonstration scale;
-
The purification protocol transferred to the IMBM laboratory.
-
Research output: a student will be assigned to work on the project. If possible, the results will be published in a short research note or alternatively used for a follow-up patent application for the process of the biosurfactant production;
-
Skills development: the project aims to involve a minimum of one postgraduate student or researcher for the duration of the project;
-
Strengthened relationship: the project will strengthen the relationship between the two collaborators and will position the collaboration for any future joint project opportunities. The project has the potential to lead to future bilateral and multilateral co-operations.
Project Methodology as per the Project Proposal: including evaluation
The Univ. of Missouri will develop protocols to separate the biosurfactant, IMBM-BS-, from the crude extract. We will test methods such as column fractionation using our in-house column fractionator. These columns will use similar packing materials to Thin Layer Chromatography (TLC) plates since TLC methods are known to separate the biosurfactant on a very small scale. Additionally, we will test other methods such as temperature separation, liquid-liquid separation, and high-pressure liquid chromatography that have been successful at separating/extracting similar surfactant molecules.
The best separation method(s) will be evaluated based on separation efficiency, cost, timescale and ability to scale to larger quantities. Once the best methods and protocol for separation is determined, a trip to the IMBM laboratory will be scheduled in order to demonstrate and transfer the protocol.
Project Outcomes:
The biosurfactant-containing crude extract was prepared by the IMBM in December 2020 and 100mg of freeze-dried material was shipped to Prof Sheila Baker in March 2021. After Prof Baker indicated that she is no longer available to participate in the project, and Prof Cheng agreed in December 2021 to cooperate in the project, the material was collected from Prof Baker and provided to Prof Cheng.
A student from Prof Cheng’s laboratory, Sushil Koirala, developed an Ultra-performance liquid chromatography (UPLC)-based method to purify the LOLs from the crude extract using CombiFlash. In short, two methods were developed i.e. a short method on analytical UPLC-MS for the preliminary steps of purification to speed up the analysis and a long method UPLC-MS for the final analysis of the purified congeners of interest. The long method provided a better resolution of the four LOL congeners. Kindly refer to the Technical Report attached for the details.
Around 10g of the 100g of biomass that was provided to Prof Cheng, was used. About 2-3mg of the shortest FA chain length (m/z=359) were purified. The low yield was attributed to the low content of this congener in the crude extract and to the loss of some of the sample during the optimization of Prep-HPLC method. The yield was expected to be higher when using the established method. The preliminary purification involved six injections (each 30 min) in Flash Chromatography, followed by semi-prep HPLC to purify the samples multiple times, and each run was 80 minutes.
Unfortunately, the method could not be upscaled to purify the LOL from the remainder of the 100g crude extract biomass. Prof Cheng indicated that the HPLC system is not equipped to use a larger column in the semi-preparative HPLC, and that the system is also not fully automatic, so the student needed to manually collect the fractions. So although a process was developed, the system could not be used to purify the lipid from the remainder of the biomass that was provided.
In addition, the student indicated in October/November 2022 that since he started his 2nd year in the program, he wanted to focus more on his course work and dissertation research. Prof Cheng suggested that a Contract Research Organisation (CRO) is identified to scale up the purification process. He was willing to transfer all the protocols to the company to facilitate the scale up.
Prof Wyckoff offered to identify a CRO who was willing to purify the LOL from the remainder of the biomass. However, despite many efforts Gerald was not successful. From Prof Wyckoff’s experience is it clear that there is a need for small-scale process development i.e. a facility that specialises in the upscaling of technologies that are no longer considered as research, and therefore no longer fit for academic institutions, but too immature for a CRO. It leaves the question on how other projects which manufacture high value chemicals for product development, proceed from the laboratory to larger scale ?
Future Plans:
Firstly, I would like to express my appreciation to Profs Rodney Uphoff, Gerald Wyckoff and Kun Cheng for the opportunity to collaborate. Also my sincere appreciation to Sushil Koirala and Umar-Farouk Mamani for their work on the project. It is a pity that we did not have the opportunity to meet in person during the project.
Secondly, the IMBM remains interested in upscaling the method to purify larger amounts of the individual LOL congeners. If the opportunity presents itself, we would be keen to develop a proposal for a collaborative project with the relevant parties. There is a huge commercial interest in biosurfactants with different performance properties. Since the four LOL congeners
have different physico-chemical properties, it is expected that their performance properties will differ. The results will constitute new intellectual property with commercial potential, and the option to patent.
LOL Sample Purification
Analysis of the sample in UPLC-MS
Sample was analyzed using UPLC-MS with the method provided as mentioned in the table 1 and displayed UPLC chromatogram as depicted in figure 1. To speed up the preliminary analysis, method was modified as shown in table 2 to shorten the retention time to 26 minutes. Figure 2 represents the UPLC chromatogram obtained with the modified method.
Table 1: Mobile phase gradients used for the UPLC-MS system consisting of A, Milli-Q and 0.1% formic acid and B, acetonitrile and 0.1% formic acid. 150 mm column was used.
|
Time(minutes) |
Flow(ml/min) |
A% |
B% |
|---|---|---|---|
|
Initial |
0.3 |
100 |
0 |
|
30 |
0.3 |
30 |
70 |
|
30.01 |
0.3 |
5 |
95 |
|
36.01 |
0.3 |
5 |
95 |
|
36.02 |
0.3 |
100 |
0 |
|
42.01 |
0.3 |
100 |
0 |
Table 2: Mobile phase gradients used for the UPLC-MS system consisting of A, Milli-Q and 0.1% formic acid and B, acetonitrile and 0.1% formic acid. 50 mm column was used.
|
Time(minutes) |
Flow(ml/min) |
A% |
B% |
|---|---|---|---|
|
Initial |
0.6 |
95 |
5 |
|
0.80 |
0.6 |
95 |
5 |
|
2.00 |
0.6 |
70 |
30 |
|
6.50 |
0.6 |
25 |
75 |
|
7.00 |
0.6 |
5 |
95 |
|
8.50 |
0.6 |
95 |
5 |

Figure 1: UPLC chromatogram obtained with the method mentioned in Table 1. 150 mm column was used, and total run time was 42.01 minute with the flow rate of 0.3ml per minute.

Figure 2: UPLC peak with the method modified to reduce the retention time to 8.5 min. 50 mm column was used and total run time was 8.5 minute with the flow rate of 0.6ml per minute.
Analysis of the sample in Prep-HPLC
The short method was transferred to Prep-HPLC to have the retention time of 26 minute as displayed in table 3. Chromatogram (figure 3) showed that certain components of the sample saturating the detector. To get the good detector response, flow cell was changed to one with 0.5mm path length. The chromatogram obtained with new flow cell, figure 4, showed no saturation of detector but the peak due to later eluting components (which are our samples of interest confirmed by running in MS) are so small that they are barely visible in the chromatogram. One of the biggest challenges of detecting our samples of interests is that they don’t have many chromophores, which in turn makes their response to UV detector minimal comparison to the other contaminants present in the sample. Therefore, it was needed to opt to the same flow cell with the path length of 2 mm to have better response of our samples but meantime we don’t want our detector gets saturated with other contaminants. For which, sample was pretreated prior to purification by Prep-HPLC to get rid of the earlier eluting contaminants that were saturating the detector.
Table 3: Mobile phase gradients used for the Prep-HPLC consisting of A, Milli-Q and 0.1 TFA and B, acetonitrile and 0.1% TFA. 250 mm column was used.
|
Time(minutes) |
Flow(ml/min) |
A% |
B% |
|---|---|---|---|
|
Initial |
4 |
95 |
5 |
|
2 |
4 |
95 |
5 |
|
12 |
4 |
42 |
58 |
|
22 |
4 |
25 |
75 |
|
22.01 |
4 |
0 |
95 |
|
25 |
4 |
0 |
95 |
|
25.01 |
4 |
95 |
5 |
|
26 |
4 |
95 |
5 |

Figure 3: Chromatogram from Prep-HPLC. Due to high amounts of contaminant present in the sample, detector saturation is observed. Flow cell with path length of 2mm was used.

Figure 4: Chromatogram from Prep-HPLC. Flow cell with path length of 0.5mm was used; contaminant is not saturating the detector, but the peaks of interest are so small that is almost impossible to detect.
Pretreatment of the sample
The complexity of the sample was first simplified using extraction method. 60% v/v acetonitrile in water was added to the sample and sonicated for 30 minutes. The sample was then centrifuged at 1200xg for 5 minutes. The sample was observed to separate in two layers; upper clear layer with some of the dissolved samples and lower viscous layer with undissolved samples. The upper layer was collected, and lower layer was washed again. 60% v/v acetonitrile in water was added and repeated every steps as performed in the first round of extraction and continued for four rounds. After the fourth round of washing, mixed upper layer from all the rounds and lower layer remained after final round were analyzed using UPLC-MS. The upper layer was found to contain most of our samples of interest, whereas lower layer contained comparatively very small amount (less than 5% of area)

Figure 5: UPLC Chromatogram of the sample separated with 60%(v/v) acetonitrile in water. Sample dissolved in 60%(v/v) acetonitrile in water and centrifuged for 5 minutes at 1200 xg. Supernatant, separated as upper layer with some of the dissolved samples, was isolated and analyzed and found to contain our samples of interest.

Figure 6: UPLC peak of the sample separated with 60%(v/v) acetonitrile in water. Sample dissolved in 60%(v/v) acetonitrile in water and centrifuged for 5 minutes at 1200 xg.
Undissolved samples, separated as lower layer, was isolated after five rounds of washing, analyzed, and found to contain no or very little our samples of interest.
Purification of Upper Supernatant Layer using Prep-HPLC
After confirming with UPLC-MS that our samples of interest have been completely recovered in upper supernatant layer after four rounds of washing, it was then purified using Prep-HPLC. Various fractions were collected and were also analyzed on the analytical UPLC-MS to determine which fractions to use for further purification of the compounds of interest. Some fractions contained more than one samples of interest which suggests that second purification is needed.

Figure 7: Prep-HPLC chromatogram of collected upper layer. Flow cell of path length 2 mm was used. Various fractions were collected to analyze on analytical UPLC-MS.

Figure 8: UPLC chromatogram of fraction 1 showing peak of m/z= 359.13.

Figure 9: MS spectra extracted from fraction 1 of compound with the retention time of 4.22 minute.

Figure 10: UPLC chromatogram of fraction 2 showing peak of m/z= 359.16. and m/z=385.18

Figure 11: MS spectra extracted from fraction 2 of compound with the retention time of 4.281 minute.

Figure 12: MS spectra extracted from fraction 2 of compound with the retention time of 4.457 minute.

Figure 13: UPLC chromatogram of fraction 3 showing peaks of m/z= 359.20. and m/z=385.19

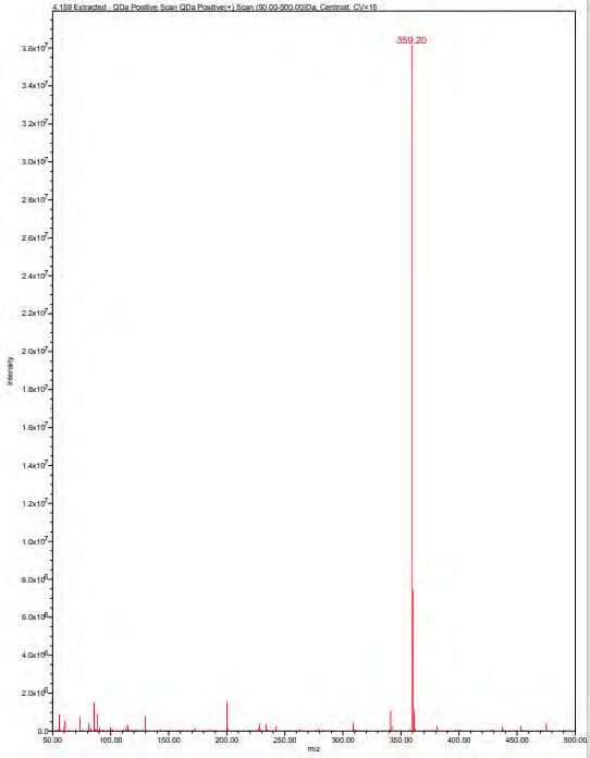
Figure 14: MS spectra extracted from fraction 3 of compound with the retention time of 4159 minute

Figure 15: MS spectra extracted from fraction 3 of compound with the retention time of 4.414 minute

Figure 16: UPLC chromatogram of fraction 4 showing peaks of m/z=385.21, m/z= 387.24 and m/z=413.25

Figure 17: MS spectra extracted from fraction 4 of compound with the retention time of 4.429 minute

Figure 18: MS spectra extracted from fraction 4 of compound with the retention time of 4.863 minute

Figure 19: MS spectra extracted from fraction 4 of compound with the retention time of 5.066 minute

Figure 20: UPLC chromatogram of fraction 5 showing peak of m/z=413.25

Figure 21: MS spectra extracted from fraction 5 of compound with the retention time of 5.045 minute
Future Works
-
Second purification of the fraction would be performed and analyzed on analytical UPLC-MS
-
All samples will then be subjected to aforementioned process to purify our samples of interest.
-
Upper and Lower layer will then be analyzed with the long method that we have to confirm complete recovery of our samples of interest.
-
Two step purified fractions will finally be analyzed on UPLC-MS using long method to have better separation of the peaks and purity confirmation.
Note: The long method UPLC-MS gives better resolution of peaks but for preliminary steps of purification to speed up the analysis, we developed short method on analytical UPLC-MS. Final analysis for the purified samples of interest will be analyzed using long method.
Reviewed 2025-10-30