UMSAEP Project Report: Time Scales Analysis of Mathematical Models in Population Biology
Martin Bohner
Department of Mathematics and Statistics Missouri S&T, Rolla, MO 65409, USA bohner@mst.edu
Kailash Patidar
Department of Mathematics and Applied Mathematics University of the Western Cape, Bellville 7535, South Africa kpatidar@uwc.ac.za
December 14, 2023
Abstract
In this report, I am giving a summary of my visit at UWC in Cape Town, and I am describing the results we have achieved during this visit.
-
Summary of Visit
I arrived in CPT on Friday, May 19, 2023, and I left 21 days later, on Thursday, June 8, 2023. During my visit, I was accommodated in the Bell Rosen Guest House in Bellville. A rental car was arranged for me, which I used to travel to the campus of UWC and back. I had an office there. Together with my host, Professor Kailash Patidar, who is the Chair of the Department of Mathematics and Applied Mathematics at UWC, we held daily meetings, either in my office or in his office, sometimes at my hotel and at his house.

Figure 1: At Table Mountain
During the first week, we discussed the theory of time scales, as presented in my books [2, 3]. In the second week, we discussed discretization schemes, as constructed by Professor Patidar in [7, 8]. In the third week, we put these two ingredients together to develop a systematic approach how to translate these (continuous-time) models into dynamic equations on time scales. The details of our investigations are presented in Section 2 of this report. We are still in the process of preparing a research paper summarizing our results and submitting it for publication in a high-level international journal. During my visit, we also had a nice social program, visiting Franschhoek, Stellenbosch, and the sights of Cape Town, see Figure 1. We also visited together several restaurants and wineries. It was raining a lot during my visit, but on the last Sunday, the weather was nice, and I hiked up alone the Table Mountain through the Platteklip Gorge.
-
Results of Visit
During my stay at UWC, Professor Patidar and I have developed a method how to “translate” any continuous-time model (consisting of differential equa-tions) into a time-scales (see [2,3]) model in a “correct” way, namely preserv-ing nonnegativity of solutions that start with nonnegative initial conditions, and preserving other important properties of solutions. Some related results are given in [4–6]. This has direct applications to discrete-time models and quantum-time models. In order to illustrate our method, we took three im-portant systems from epidemiology literature and performed our analysis. The first pertinent system has two equations, the second one has four equa-tions, and the third one has six equations. In the rest of this section, we now present our results for each of these models.
-
Two Equations
This system originates in [7, Equation (1)] and models the spread of a disease in a population that is subdivided into compartments of susceptible (S(t)) and infected (I(t)) subpopulations given by

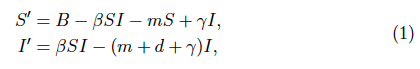
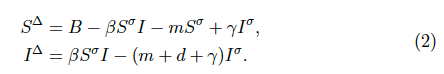
where B is the recruitment rate of individuals into the population, β is the effective contact rate, m is the natural death rate, γ is the recovery rate, and d is the disease-induced death rate. Our time scales analogue of (1) appears as

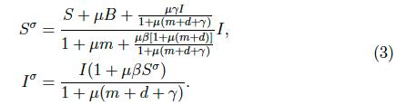
For isolated time scales (e.g., when T = Z or T = qN0 ), (2) can be, after some time scales calculations, rewritten as

It is now clear, given all parameters are nonnegative and the initial conditions are nonnegative, that the solutions to (3) remain nonnegative.

Figure 2: Solutions of (3) when T = Z
Furthermore, we calculated the endemic equilibrium and the disease-free equilibrium for
(2) and performed other calculations. Some exemplary plots of solutions are pictured in Figure 2 for T = Z and in Figure 3 for T = qN0 .
-
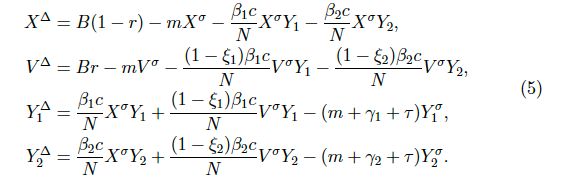
Four Equations
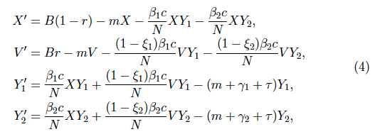
This system stems from [7, Equation (16)] and appears as a vaccination model for the transmission dynamics of two HIV subtypes in a given commu-nity. The total population (N (t)) is subdivided into the the sub-populations of wholly susceptible individuals (X(t)), vaccinated susceptible individuals (V (t)), individuals infected with an endemic HIV subtype 1 (Y1(t)), and

Figure 3: Solutions of (3) when T = qN0
individuals infected with an invading HIV subtype 2 (Y2(t)), given by

where the parameters are described in [7, Table 6]. Our time scales analogue of (4) appears as

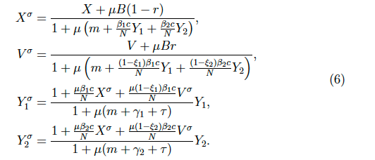
For isolated time scales (e.g., when T = Z or T = qN0 ), (5) can be, after some time scales calculations, rewritten as

It is now clear, given all parameters are nonnegative and the initial conditions are nonnegative, that the solutions to (6) remain nonnegative. Furthermore, we discussed the disease-free equilibrium, the subtype 1 only equilibrium, the subtype 2 only equilibrium, the co-existence equilibrium, and performed other calculations. equilibrium and the disease-free equilibrium for (2) and performed other calculations. We did some initial plots of solutions which reassured the “correctness” of our system (5), but we still have to prepare some exemplary plots of solutions, and these are therefore not pictured here. They will be pictured in the final version of the paper that will be submitted for publication.
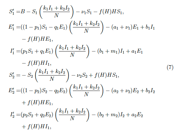
- Six Equations
-
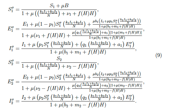
This system comes from [8, Equation (2.1)] (see also [1]) and describes the transmission dynamics of an HIV-TB co-infection, combining two states for
HIV (HIV− and HIV+) with three states for TB (susceptible (Si), latent (Ei), and infectious (Ii) individuals). It is given by
where the parameters are described in [8, Table 1]. Our time scales analogue of (7) appears as
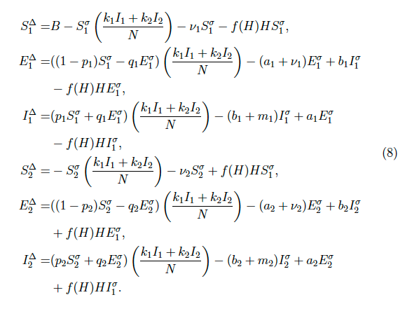
For isolated time scales (e.g., when T = Z or T = qN0 ), (8) can be, after some time scales calculations, rewritten as
It is now clear, given all parameters are nonnegative and the initial conditions are nonnegative and f satisfies an appropriate assumption, that the solutions to (9) remain nonnegative. Furthermore, we discussed the HIV only model and the TB only model and performed other calculations. We still have to prepare some exemplary plots of solutions, and these are therefore not pictured here. They will be pictured in the final version of the paper that will be submitted for publication.
References
-
Nicolas Baca¨er, Rachid Ouifki, Carel Pretorius, Robin Wood, and Brian Williams. Modeling the joint epidemics of TB and HIV in a South African township. J. Math. Biol., 57(4):557–593, 2008.
-
Martin Bohner and Svetlin G. Georgiev. Multivariable dynamic calculus on time scales. Springer, Cham, 2016.
-
Martin Bohner and Allan Peterson. Dynamic equations on time scales. Birkha¨user Boston, Inc., Boston, MA, 2001. An introduction with appli-cations.
-
Martin Bohner and Sabrina Streipert. An integrable SIS model on time scales. In Difference equations and discrete dynamical systems with ap-plications, volume 312 of Springer Proc. Math. Stat., pages 187–200. Springer, Cham, [2020] ©2020.
-
Martin Bohner, Sabrina Streipert, and Delfim F. M. Torres. Exact solu-tion to a dynamic SIR model. Nonlinear Anal. Hybrid Syst., 32:228–238, 2019.
-
Martin Bohner and Sabrina H. Streipert. The SIS-model on time scales.
Pliska Stud. Math., 26:11–28, 2016.
-
Abba B. Gumel, Kailash C. Patidar, and Raymond J. Spiteri. Asymptot-ically consistent non-standard finite-difference methods for solving math-ematical models arising in population biology. In Advances in the appli-cations of nonstandard finite difference schemes, pages 385–421. World Sci. Publ., Hackensack, NJ, 2005.
-
Hasim A. Obaid, Rachid Ouifki, and Kailash C. Patidar. A nonstandard finite difference method for solving a mathematical model of HIV-TB co-infection. J. Difference Equ. Appl., 23(6):1105–1132, 2017.
Reviewed 2025-12-12